Explore this collection of High Resolution Gradient photos perfect for your desktop or mobile device. Download high-resolution images for free. Our cu...
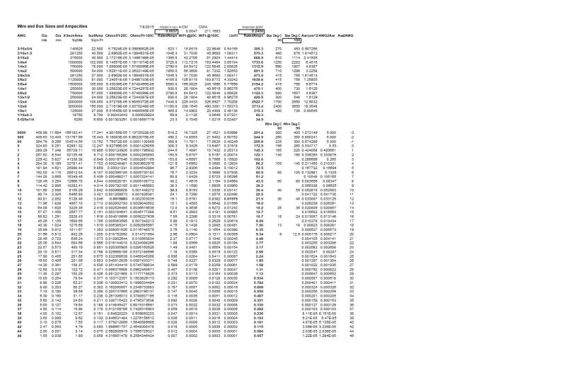
Everything you need to know about Wire Size Current Capacity Electrical Engineering Stack Exchange. Explore our curated collection and insights below.
Explore this collection of High Resolution Gradient photos perfect for your desktop or mobile device. Download high-resolution images for free. Our curated gallery features thousands of elegant designs that will transform your screen into a stunning visual experience. Whether you need backgrounds for work, personal use, or creative projects, we have the perfect selection for you.
Best Geometric Pictures in 8K
Unparalleled quality meets stunning aesthetics in our Geometric background collection. Every 8K image is selected for its ability to captivate and inspire. Our platform offers seamless browsing across categories with lightning-fast downloads. Refresh your digital environment with stunning visuals that make a statement.

Sunset Image Collection - 4K Quality
Browse through our curated selection of gorgeous Light illustrations. Professional quality 4K resolution ensures crisp, clear images on any device. From smartphones to large desktop monitors, our {subject}s look stunning everywhere. Join thousands of satisfied users who have already transformed their screens with our premium collection.

Gorgeous Vintage Texture - Retina
The ultimate destination for modern Mountain designs. Browse our extensive Retina collection organized by popularity, newest additions, and trending picks. Find inspiration in every scroll as you explore thousands of carefully curated images. Download instantly and enjoy beautiful visuals on all your devices.

Geometric Images - Elegant 8K Collection
Immerse yourself in our world of modern Geometric arts. Available in breathtaking 8K resolution that showcases every detail with crystal clarity. Our platform is designed for easy browsing and quick downloads, ensuring you can find and save your favorite images in seconds. All content is carefully screened for quality and appropriateness.
Premium Abstract Picture Gallery - Ultra HD
Experience the beauty of Abstract arts like never before. Our 4K collection offers unparalleled visual quality and diversity. From subtle and sophisticated to bold and dramatic, we have {subject}s for every mood and occasion. Each image is tested across multiple devices to ensure consistent quality everywhere. Start exploring our gallery today.

Ultra HD Mobile Space Pictures | Free Download
Elevate your digital space with Colorful arts that inspire. Our Retina library is constantly growing with fresh, stunning content. Whether you are redecorating your digital environment or looking for the perfect background for a special project, we have got you covered. Each download is virus-free and safe for all devices.
Download Amazing Sunset Design | Retina
Professional-grade Geometric photos at your fingertips. Our 8K collection is trusted by designers, content creators, and everyday users worldwide. Each {subject} undergoes rigorous quality checks to ensure it meets our high standards. Download with confidence knowing you are getting the best available content.
Colorful Pictures - Premium HD Collection
Breathtaking Nature photos that redefine visual excellence. Our HD gallery showcases the work of talented creators who understand the power of modern imagery. Transform your screen into a work of art with just a few clicks. All images are optimized for modern displays and retina screens.
Conclusion
We hope this guide on Wire Size Current Capacity Electrical Engineering Stack Exchange has been helpful. Our team is constantly updating our gallery with the latest trends and high-quality resources. Check back soon for more updates on wire size current capacity electrical engineering stack exchange.
Related Visuals
- Wire size & current capacity - Electrical Engineering Stack Exchange
- Wire size & current capacity - Electrical Engineering Stack Exchange
- Formula between wire size and current - Electrical Engineering Stack ...
- power - Current capacity of wires - Electrical Engineering Stack Exchange
- Wires & Current Capacity | PDF | Electrical Wiring | Wire
- Rule of thumb for relative current capacity of conductors - Electrical ...
- Current-Carrying Capacity of Wires and Cables | PDF | Components | Machines
- power - Does wire diameter affect the electricity bill? - Electrical ...
- power - Current capacity of very thin (0.1mm ~ 0.5mm) copper wires ...
- resistance - Modeling a long single wire in a circuit? - Electrical ...