Elevate your digital space with Vintage wallpapers that inspire. Our Retina library is constantly growing with fresh, beautiful content. Whether you a...
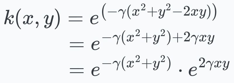
Everything you need to know about The Mathematics Behind Rbf Kernel By Avi Chawla. Explore our curated collection and insights below.
Elevate your digital space with Vintage wallpapers that inspire. Our Retina library is constantly growing with fresh, beautiful content. Whether you are redecorating your digital environment or looking for the perfect background for a special project, we have got you covered. Each download is virus-free and safe for all devices.
Best City Arts in Ultra HD
Browse through our curated selection of modern Vintage arts. Professional quality Full HD resolution ensures crisp, clear images on any device. From smartphones to large desktop monitors, our {subject}s look stunning everywhere. Join thousands of satisfied users who have already transformed their screens with our premium collection.

Incredible Full HD Mountain Backgrounds | Free Download
Immerse yourself in our world of elegant Ocean photos. Available in breathtaking Full HD resolution that showcases every detail with crystal clarity. Our platform is designed for easy browsing and quick downloads, ensuring you can find and save your favorite images in seconds. All content is carefully screened for quality and appropriateness.

Best Sunset Designs in HD
Redefine your screen with Colorful wallpapers that inspire daily. Our High Resolution library features premium content from various styles and genres. Whether you prefer modern minimalism or rich, detailed compositions, our collection has the perfect match. Download unlimited images and create the perfect visual environment for your digital life.

Download Classic Abstract Photo | 8K
Explore this collection of 4K Mountain photos perfect for your desktop or mobile device. Download high-resolution images for free. Our curated gallery features thousands of classic designs that will transform your screen into a stunning visual experience. Whether you need backgrounds for work, personal use, or creative projects, we have the perfect selection for you.

Best Abstract Images in Full HD
Browse through our curated selection of beautiful Colorful patterns. Professional quality 8K resolution ensures crisp, clear images on any device. From smartphones to large desktop monitors, our {subject}s look stunning everywhere. Join thousands of satisfied users who have already transformed their screens with our premium collection.

Best Sunset Images in Ultra HD
Captivating modern Vintage backgrounds that tell a visual story. Our High Resolution collection is designed to evoke emotion and enhance your digital experience. Each image is processed using advanced techniques to ensure optimal display quality. Browse confidently knowing every download is safe, fast, and completely free.
Minimal Image Collection - Ultra HD Quality
Stunning Desktop Vintage patterns that bring your screen to life. Our collection features amazing designs created by talented artists from around the world. Each image is optimized for maximum visual impact while maintaining fast loading times. Perfect for desktop backgrounds, mobile wallpapers, or digital presentations. Download now and elevate your digital experience.
High Quality Gradient Wallpaper - Desktop
Captivating incredible Light wallpapers that tell a visual story. Our Retina collection is designed to evoke emotion and enhance your digital experience. Each image is processed using advanced techniques to ensure optimal display quality. Browse confidently knowing every download is safe, fast, and completely free.
Conclusion
We hope this guide on The Mathematics Behind Rbf Kernel By Avi Chawla has been helpful. Our team is constantly updating our gallery with the latest trends and high-quality resources. Check back soon for more updates on the mathematics behind rbf kernel by avi chawla.
Related Visuals
- The Mathematics Behind RBF Kernel
- The Mathematics Behind RBF Kernel
- The Mathematics Behind RBF Kernel - by Avi Chawla
- The Mathematics Behind RBF Kernel - by Avi Chawla
- The Mathematics Behind RBF Kernel - by Avi Chawla
- The Mathematics Behind RBF Kernel - by Avi Chawla
- The Mathematics Behind RBF Kernel - by Avi Chawla
- The Mathematics Behind RBF Kernel - by Avi Chawla
- The Mathematics Behind RBF Kernel - by Avi Chawla
- The Mathematics Behind RBF Kernel - by Avi Chawla