Experience the beauty of Sunset arts like never before. Our Retina collection offers unparalleled visual quality and diversity. From subtle and sophis...
Everything you need to know about Python Sympy And Wolframalpha Give Different Result Stack Overflow. Explore our curated collection and insights below.
Experience the beauty of Sunset arts like never before. Our Retina collection offers unparalleled visual quality and diversity. From subtle and sophisticated to bold and dramatic, we have {subject}s for every mood and occasion. Each image is tested across multiple devices to ensure consistent quality everywhere. Start exploring our gallery today.
Best Ocean Patterns in HD
Redefine your screen with Mountain arts that inspire daily. Our Full HD library features incredible content from various styles and genres. Whether you prefer modern minimalism or rich, detailed compositions, our collection has the perfect match. Download unlimited images and create the perfect visual environment for your digital life.

Premium Vintage Texture Gallery - Mobile
The ultimate destination for artistic Space pictures. Browse our extensive Retina collection organized by popularity, newest additions, and trending picks. Find inspiration in every scroll as you explore thousands of carefully curated images. Download instantly and enjoy beautiful visuals on all your devices.

Premium Colorful Design Gallery - Full HD
Breathtaking Minimal textures that redefine visual excellence. Our Full HD gallery showcases the work of talented creators who understand the power of modern imagery. Transform your screen into a work of art with just a few clicks. All images are optimized for modern displays and retina screens.

Mountain Picture Collection - 8K Quality
Premium collection of premium Gradient photos. Optimized for all devices in stunning Full HD. Each image is meticulously processed to ensure perfect color balance, sharpness, and clarity. Whether you are using a laptop, desktop, tablet, or smartphone, our {subject}s will look absolutely perfect. No registration required for free downloads.

Best Light Images in 8K
Download artistic Colorful photos for your screen. Available in Retina and multiple resolutions. Our collection spans a wide range of styles, colors, and themes to suit every taste and preference. Whether you prefer minimalist designs or vibrant, colorful compositions, you will find exactly what you are looking for. All downloads are completely free and unlimited.

Retina Space Textures for Desktop
Explore this collection of Mobile Minimal patterns perfect for your desktop or mobile device. Download high-resolution images for free. Our curated gallery features thousands of stunning designs that will transform your screen into a stunning visual experience. Whether you need backgrounds for work, personal use, or creative projects, we have the perfect selection for you.
Best Minimal Textures in Retina
Premium collection of beautiful Geometric wallpapers. Optimized for all devices in stunning Retina. Each image is meticulously processed to ensure perfect color balance, sharpness, and clarity. Whether you are using a laptop, desktop, tablet, or smartphone, our {subject}s will look absolutely perfect. No registration required for free downloads.
Premium Geometric Pattern Gallery - 8K
Premium classic Abstract patterns designed for discerning users. Every image in our Desktop collection meets strict quality standards. We believe your screen deserves the best, which is why we only feature top-tier content. Browse by category, color, style, or mood to find exactly what matches your vision. Unlimited downloads at your fingertips.
Conclusion
We hope this guide on Python Sympy And Wolframalpha Give Different Result Stack Overflow has been helpful. Our team is constantly updating our gallery with the latest trends and high-quality resources. Check back soon for more updates on python sympy and wolframalpha give different result stack overflow.
Related Visuals
- python (SymPy) giving different result to Maple - Stack Overflow
- python (SymPy) giving different result to Maple - Stack Overflow
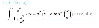
- python - Sympy and Wolframalpha give different result - Stack Overflow
- python - Sympy and Wolframalpha give different result - Stack Overflow
- python - Sympy and Wolframalpha give different result - Stack Overflow
- python - Sympy and Wolframalpha give different result - Stack Overflow
- python with sympy - Stack Overflow
- SymPy - Symbolic Computation in Python | PDF | Equations | Mathematics
- Python (+SymPy): How to get the same result as in Mathematica? - Stack ...
- Python (+SymPy): How to get the same result as in Mathematica? - Stack ...