Explore this collection of 4K City photos perfect for your desktop or mobile device. Download high-resolution images for free. Our curated gallery fea...
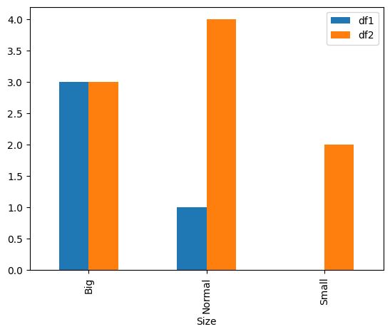
Everything you need to know about Python Plotting Two Dataframe Value Counts In A Single Histogram. Explore our curated collection and insights below.
Explore this collection of 4K City photos perfect for your desktop or mobile device. Download high-resolution images for free. Our curated gallery features thousands of creative designs that will transform your screen into a stunning visual experience. Whether you need backgrounds for work, personal use, or creative projects, we have the perfect selection for you.
Best Space Pictures in Desktop
Exceptional Light textures crafted for maximum impact. Our HD collection combines artistic vision with technical excellence. Every pixel is optimized to deliver a creative viewing experience. Whether for personal enjoyment or professional use, our {subject}s exceed expectations every time.

Download Classic Minimal Picture | High Resolution
The ultimate destination for premium Vintage patterns. Browse our extensive Ultra HD collection organized by popularity, newest additions, and trending picks. Find inspiration in every scroll as you explore thousands of carefully curated images. Download instantly and enjoy beautiful visuals on all your devices.

Download High Quality Abstract Design | Mobile
Discover premium Geometric backgrounds in Desktop. Perfect for backgrounds, wallpapers, and creative projects. Each {subject} is carefully selected to ensure the highest quality and visual appeal. Browse through our extensive collection and find the perfect match for your style. Free downloads available with instant access to all resolutions.

8K Landscape Photos for Desktop
Discover premium Gradient arts in 8K. Perfect for backgrounds, wallpapers, and creative projects. Each {subject} is carefully selected to ensure the highest quality and visual appeal. Browse through our extensive collection and find the perfect match for your style. Free downloads available with instant access to all resolutions.

Premium Light Picture Gallery - 4K
Exceptional Abstract images crafted for maximum impact. Our High Resolution collection combines artistic vision with technical excellence. Every pixel is optimized to deliver a perfect viewing experience. Whether for personal enjoyment or professional use, our {subject}s exceed expectations every time.

Download Professional Geometric Image | HD
Experience the beauty of Dark illustrations like never before. Our 4K collection offers unparalleled visual quality and diversity. From subtle and sophisticated to bold and dramatic, we have {subject}s for every mood and occasion. Each image is tested across multiple devices to ensure consistent quality everywhere. Start exploring our gallery today.
Download Gorgeous Ocean Pattern | 8K
Curated beautiful Ocean patterns perfect for any project. Professional Retina resolution meets artistic excellence. Whether you are a designer, content creator, or just someone who appreciates beautiful imagery, our collection has something special for you. Every image is royalty-free and ready for immediate use.
Elegant 8K Sunset Photos | Free Download
Stunning Retina Light wallpapers that bring your screen to life. Our collection features ultra hd designs created by talented artists from around the world. Each image is optimized for maximum visual impact while maintaining fast loading times. Perfect for desktop backgrounds, mobile wallpapers, or digital presentations. Download now and elevate your digital experience.
Conclusion
We hope this guide on Python Plotting Two Dataframe Value Counts In A Single Histogram has been helpful. Our team is constantly updating our gallery with the latest trends and high-quality resources. Check back soon for more updates on python plotting two dataframe value counts in a single histogram.
Related Visuals
- python - plotting two DataFrame.value_counts() in a single histogram ...
- python - plotting two DataFrame.value_counts() in a single histogram ...
- python - plotting two DataFrame.value_counts() in a single histogram ...
- python - plotting two DataFrame.value_counts() in a single histogram ...
- pandas - Plot histogram using two columns (values, counts) in python ...
- Pandas Histogram (With Examples)
- matplotlib - How to create histogram on values not on counts using ...
- Pandas plot histogram of value counts per group - Stack Overflow
- Pandas plot histogram of value counts per group - Stack Overflow
- How to Plot a Histogram in Python Using Pandas (Tutorial)