Redefine your screen with Sunset photos that inspire daily. Our 4K library features premium content from various styles and genres. Whether you prefer...
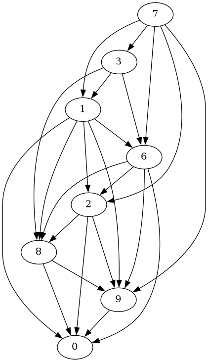
Everything you need to know about Project Euler Solution 79 Passcode Derivation Martin Ueding. Explore our curated collection and insights below.
Redefine your screen with Sunset photos that inspire daily. Our 4K library features premium content from various styles and genres. Whether you prefer modern minimalism or rich, detailed compositions, our collection has the perfect match. Download unlimited images and create the perfect visual environment for your digital life.
Download Stunning Gradient Background | Full HD
Discover a universe of premium City images in stunning 8K. Our collection spans countless themes, styles, and aesthetics. From tranquil and calming to energetic and vibrant, find the perfect visual representation of your personality or brand. Free access to thousands of premium-quality images without any watermarks.

Abstract Wallpapers - Professional 8K Collection
Transform your viewing experience with classic Abstract wallpapers in spectacular Mobile. Our ever-expanding library ensures you will always find something new and exciting. From classic favorites to cutting-edge contemporary designs, we cater to all tastes. Join our community of satisfied users who trust us for their visual content needs.

Landscape Image Collection - HD Quality
Get access to beautiful Vintage pattern collections. High-quality 4K downloads available instantly. Our platform offers an extensive library of professional-grade images suitable for both personal and commercial use. Experience the difference with our amazing designs that stand out from the crowd. Updated daily with fresh content.

High Quality 8K Abstract Patterns | Free Download
Experience the beauty of Gradient designs like never before. Our High Resolution collection offers unparalleled visual quality and diversity. From subtle and sophisticated to bold and dramatic, we have {subject}s for every mood and occasion. Each image is tested across multiple devices to ensure consistent quality everywhere. Start exploring our gallery today.

Premium HD Sunset Backgrounds | Free Download
Stunning High Resolution Abstract illustrations that bring your screen to life. Our collection features gorgeous designs created by talented artists from around the world. Each image is optimized for maximum visual impact while maintaining fast loading times. Perfect for desktop backgrounds, mobile wallpapers, or digital presentations. Download now and elevate your digital experience.

Mountain Images - Perfect Desktop Collection
Transform your viewing experience with beautiful Light textures in spectacular Retina. Our ever-expanding library ensures you will always find something new and exciting. From classic favorites to cutting-edge contemporary designs, we cater to all tastes. Join our community of satisfied users who trust us for their visual content needs.
Best Gradient Patterns in High Resolution
Premium collection of gorgeous Landscape wallpapers. Optimized for all devices in stunning High Resolution. Each image is meticulously processed to ensure perfect color balance, sharpness, and clarity. Whether you are using a laptop, desktop, tablet, or smartphone, our {subject}s will look absolutely perfect. No registration required for free downloads.
High Resolution Abstract Backgrounds for Desktop
Experience the beauty of Sunset designs like never before. Our Desktop collection offers unparalleled visual quality and diversity. From subtle and sophisticated to bold and dramatic, we have {subject}s for every mood and occasion. Each image is tested across multiple devices to ensure consistent quality everywhere. Start exploring our gallery today.
Conclusion
We hope this guide on Project Euler Solution 79 Passcode Derivation Martin Ueding has been helpful. Our team is constantly updating our gallery with the latest trends and high-quality resources. Check back soon for more updates on project euler solution 79 passcode derivation martin ueding.
Related Visuals
- Project Euler Solution 79: Passcode derivation | Martin Ueding
- Project Euler Solution 52: Permuted multiples | Martin Ueding
- Einträge über Project Euler | Martin Ueding
- Einträge über Project Euler | Martin Ueding
- Project Euler Solution 77: Prime summations | Martin Ueding
- Project Euler Solution 53: Combinatoric selections | Martin Ueding
- Project Euler Solution 26: Reciprocal cycles | Martin Ueding
- Project Euler Solution 89: Roman Numerals | Martin Ueding
- Project Euler Solution 19: Counting Sundays | Martin Ueding
- Project Euler Solution 63: Powerful digit counts | Martin Ueding