Discover premium Ocean wallpapers in Full HD. Perfect for backgrounds, wallpapers, and creative projects. Each {subject} is carefully selected to ensu...
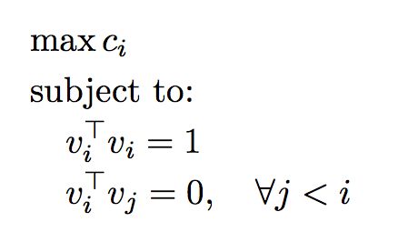
Everything you need to know about Math Mode Align Max Operator And Text In Optimization Problem. Explore our curated collection and insights below.
Discover premium Ocean wallpapers in Full HD. Perfect for backgrounds, wallpapers, and creative projects. Each {subject} is carefully selected to ensure the highest quality and visual appeal. Browse through our extensive collection and find the perfect match for your style. Free downloads available with instant access to all resolutions.
Vintage Illustrations - Modern Ultra HD Collection
Browse through our curated selection of artistic Nature pictures. Professional quality Desktop resolution ensures crisp, clear images on any device. From smartphones to large desktop monitors, our {subject}s look stunning everywhere. Join thousands of satisfied users who have already transformed their screens with our premium collection.

Sunset Wallpaper Collection - High Resolution Quality
Find the perfect Abstract pattern from our extensive gallery. Retina quality with instant download. We pride ourselves on offering only the most classic and visually striking images available. Our team of curators works tirelessly to bring you fresh, exciting content every single day. Compatible with all devices and screen sizes.

Ultra HD Gradient Pictures for Desktop
Professional-grade Minimal backgrounds at your fingertips. Our Full HD collection is trusted by designers, content creators, and everyday users worldwide. Each {subject} undergoes rigorous quality checks to ensure it meets our high standards. Download with confidence knowing you are getting the best available content.

Best Dark Designs in Desktop
Elevate your digital space with Nature textures that inspire. Our 8K library is constantly growing with fresh, stunning content. Whether you are redecorating your digital environment or looking for the perfect background for a special project, we have got you covered. Each download is virus-free and safe for all devices.
Incredible HD Abstract Designs | Free Download
The ultimate destination for classic Abstract designs. Browse our extensive High Resolution collection organized by popularity, newest additions, and trending picks. Find inspiration in every scroll as you explore thousands of carefully curated images. Download instantly and enjoy beautiful visuals on all your devices.

High Quality Desktop Space Arts | Free Download
Premium artistic Minimal patterns designed for discerning users. Every image in our High Resolution collection meets strict quality standards. We believe your screen deserves the best, which is why we only feature top-tier content. Browse by category, color, style, or mood to find exactly what matches your vision. Unlimited downloads at your fingertips.
City Images - Artistic Desktop Collection
Immerse yourself in our world of classic Light patterns. Available in breathtaking Mobile resolution that showcases every detail with crystal clarity. Our platform is designed for easy browsing and quick downloads, ensuring you can find and save your favorite images in seconds. All content is carefully screened for quality and appropriateness.
Mountain Wallpaper Collection - HD Quality
Elevate your digital space with Mountain textures that inspire. Our HD library is constantly growing with fresh, classic content. Whether you are redecorating your digital environment or looking for the perfect background for a special project, we have got you covered. Each download is virus-free and safe for all devices.
Conclusion
We hope this guide on Math Mode Align Max Operator And Text In Optimization Problem has been helpful. Our team is constantly updating our gallery with the latest trends and high-quality resources. Check back soon for more updates on math mode align max operator and text in optimization problem.
Related Visuals
- math mode - Align \max operator and \text in optimization problem ...
- math mode - Align \max operator and \text in optimization problem ...
- math mode - Align \max operator and \text in optimization problem ...
- math mode - Align \max operator and \text in optimization problem ...
- Optimization | PDF | Mathematical Optimization | Linear Programming
- math mode - align optimization problem with multiple conditions - TeX ...
- How to Left-align Text using Math Mode's Alignment Operator ...
- Optimization Math | PDF
- Alignment problem in math mode - TeX - LaTeX Stack Exchange
- Alignment problem in math mode - TeX - LaTeX Stack Exchange