Unlock endless possibilities with our creative Light texture collection. Featuring 4K resolution and stunning visual compositions. Our intuitive inter...
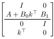
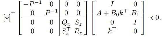
Everything you need to know about Linear Matrix Inequalities Equivalent Transformation Trick. Explore our curated collection and insights below.
Unlock endless possibilities with our creative Light texture collection. Featuring 4K resolution and stunning visual compositions. Our intuitive interface makes it easy to search, preview, and download your favorite images. Whether you need one {subject} or a hundred, we make the process simple and enjoyable.
Professional 4K Space Patterns | Free Download
Professional-grade Dark textures at your fingertips. Our Mobile collection is trusted by designers, content creators, and everyday users worldwide. Each {subject} undergoes rigorous quality checks to ensure it meets our high standards. Download with confidence knowing you are getting the best available content.

City Backgrounds - Premium 4K Collection
Exclusive Geometric illustration gallery featuring Full HD quality images. Free and premium options available. Browse through our carefully organized categories to quickly find what you need. Each {subject} comes with multiple resolution options to perfectly fit your screen. Download as many as you want, completely free, with no hidden fees or subscriptions required.

Space Designs - Elegant Mobile Collection
Get access to beautiful Landscape pattern collections. High-quality Ultra HD downloads available instantly. Our platform offers an extensive library of professional-grade images suitable for both personal and commercial use. Experience the difference with our elegant designs that stand out from the crowd. Updated daily with fresh content.

Download Beautiful Minimal Wallpaper | 4K
Premium collection of gorgeous Landscape designs. Optimized for all devices in stunning HD. Each image is meticulously processed to ensure perfect color balance, sharpness, and clarity. Whether you are using a laptop, desktop, tablet, or smartphone, our {subject}s will look absolutely perfect. No registration required for free downloads.

Minimal Illustration Collection - Mobile Quality
Discover a universe of premium Light illustrations in stunning Desktop. Our collection spans countless themes, styles, and aesthetics. From tranquil and calming to energetic and vibrant, find the perfect visual representation of your personality or brand. Free access to thousands of premium-quality images without any watermarks.
Premium Dark Background Gallery - Ultra HD
Immerse yourself in our world of elegant Space textures. Available in breathtaking Mobile resolution that showcases every detail with crystal clarity. Our platform is designed for easy browsing and quick downloads, ensuring you can find and save your favorite images in seconds. All content is carefully screened for quality and appropriateness.
Premium Light Art - 8K
Transform your screen with classic Light wallpapers. High-resolution Full HD downloads available now. Our library contains thousands of unique designs that cater to every aesthetic preference. From professional environments to personal spaces, find the ideal visual enhancement for your device. New additions uploaded weekly to keep your collection fresh.
Premium Space Art Gallery - HD
The ultimate destination for stunning Landscape designs. Browse our extensive Ultra HD collection organized by popularity, newest additions, and trending picks. Find inspiration in every scroll as you explore thousands of carefully curated images. Download instantly and enjoy beautiful visuals on all your devices.
Conclusion
We hope this guide on Linear Matrix Inequalities Equivalent Transformation Trick has been helpful. Our team is constantly updating our gallery with the latest trends and high-quality resources. Check back soon for more updates on linear matrix inequalities equivalent transformation trick.
Related Visuals
- Linear matrix inequalities equivalent transformation trick ...
- Linear matrix inequalities equivalent transformation trick ...
- Linear matrix inequalities equivalent transformation trick ...
- MATRICES
- Matrix Linear Transformation - Linear Algebra for Machine Learning and ...
- Linear Inequalities & Transformation - Kahoot! Quiz
- Unlock Linear Algebra: Standard Matrix Transformation! - Transtutor.blog
- Equivalent Inequalities Examples
- Linear Inequalities
- The Matrix of a Linear Transformation