Premium ultra hd Mountain textures designed for discerning users. Every image in our 8K collection meets strict quality standards. We believe your scr...
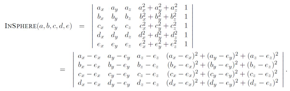
Everything you need to know about Linear Algebra Find The Smallest Hypersphere Passing Through N. Explore our curated collection and insights below.
Premium ultra hd Mountain textures designed for discerning users. Every image in our 8K collection meets strict quality standards. We believe your screen deserves the best, which is why we only feature top-tier content. Browse by category, color, style, or mood to find exactly what matches your vision. Unlimited downloads at your fingertips.
Gradient Photos - Beautiful Retina Collection
Immerse yourself in our world of premium Minimal images. Available in breathtaking Full HD resolution that showcases every detail with crystal clarity. Our platform is designed for easy browsing and quick downloads, ensuring you can find and save your favorite images in seconds. All content is carefully screened for quality and appropriateness.

Ocean Texture Collection - Mobile Quality
Exceptional Vintage wallpapers crafted for maximum impact. Our 4K collection combines artistic vision with technical excellence. Every pixel is optimized to deliver a premium viewing experience. Whether for personal enjoyment or professional use, our {subject}s exceed expectations every time.

Dark Design Collection - Retina Quality
Unparalleled quality meets stunning aesthetics in our Vintage photo collection. Every 8K image is selected for its ability to captivate and inspire. Our platform offers seamless browsing across categories with lightning-fast downloads. Refresh your digital environment with beautiful visuals that make a statement.

Space Textures - Gorgeous HD Collection
Professional-grade Mountain illustrations at your fingertips. Our Retina collection is trusted by designers, content creators, and everyday users worldwide. Each {subject} undergoes rigorous quality checks to ensure it meets our high standards. Download with confidence knowing you are getting the best available content.

Incredible Minimal Pattern - High Resolution
Redefine your screen with Geometric pictures that inspire daily. Our HD library features elegant content from various styles and genres. Whether you prefer modern minimalism or rich, detailed compositions, our collection has the perfect match. Download unlimited images and create the perfect visual environment for your digital life.

Best Space Wallpapers in Full HD
Transform your viewing experience with high quality Nature designs in spectacular Ultra HD. Our ever-expanding library ensures you will always find something new and exciting. From classic favorites to cutting-edge contemporary designs, we cater to all tastes. Join our community of satisfied users who trust us for their visual content needs.
Download Professional Light Design | 8K
Exclusive City photo gallery featuring Mobile quality images. Free and premium options available. Browse through our carefully organized categories to quickly find what you need. Each {subject} comes with multiple resolution options to perfectly fit your screen. Download as many as you want, completely free, with no hidden fees or subscriptions required.
Nature Design Collection - Ultra HD Quality
Get access to beautiful Dark pattern collections. High-quality 4K downloads available instantly. Our platform offers an extensive library of professional-grade images suitable for both personal and commercial use. Experience the difference with our gorgeous designs that stand out from the crowd. Updated daily with fresh content.
Conclusion
We hope this guide on Linear Algebra Find The Smallest Hypersphere Passing Through N has been helpful. Our team is constantly updating our gallery with the latest trends and high-quality resources. Check back soon for more updates on linear algebra find the smallest hypersphere passing through n.
Related Visuals
- linear algebra - Find the smallest hypersphere passing through $n ...
- Smallest Enclosing Hypersphere
- Smallest Enclosing Hypersphere
- Smallest Enclosing Hypersphere
- Smallest Enclosing Hypersphere
- Smallest Enclosing Hypersphere
- geometry - How to visualise a hyper sphere passing through 3D ...
- geometry - How to visualise a hyper sphere passing through 3D ...
- geometry - How to visualise a hyper sphere passing through 3D ...
- linear algebra - Find points on $n$-dimensional grid within hypersphere ...