Captivating ultra hd Abstract designs that tell a visual story. Our Ultra HD collection is designed to evoke emotion and enhance your digital experien...
Everything you need to know about Equations Left Align Math Tex Latex Stack Exchange. Explore our curated collection and insights below.
Captivating ultra hd Abstract designs that tell a visual story. Our Ultra HD collection is designed to evoke emotion and enhance your digital experience. Each image is processed using advanced techniques to ensure optimal display quality. Browse confidently knowing every download is safe, fast, and completely free.
Classic Gradient Illustration - Mobile
Curated artistic Sunset designs perfect for any project. Professional High Resolution resolution meets artistic excellence. Whether you are a designer, content creator, or just someone who appreciates beautiful imagery, our collection has something special for you. Every image is royalty-free and ready for immediate use.

Dark Texture Collection - Retina Quality
Download incredible Mountain designs for your screen. Available in Mobile and multiple resolutions. Our collection spans a wide range of styles, colors, and themes to suit every taste and preference. Whether you prefer minimalist designs or vibrant, colorful compositions, you will find exactly what you are looking for. All downloads are completely free and unlimited.

Premium Abstract Picture Gallery - Mobile
Download elegant Abstract arts for your screen. Available in Retina and multiple resolutions. Our collection spans a wide range of styles, colors, and themes to suit every taste and preference. Whether you prefer minimalist designs or vibrant, colorful compositions, you will find exactly what you are looking for. All downloads are completely free and unlimited.

Download Stunning City Wallpaper | High Resolution
Transform your screen with ultra hd Minimal photos. High-resolution Full HD downloads available now. Our library contains thousands of unique designs that cater to every aesthetic preference. From professional environments to personal spaces, find the ideal visual enhancement for your device. New additions uploaded weekly to keep your collection fresh.

Minimal Backgrounds - Classic 4K Collection
Get access to beautiful Landscape pattern collections. High-quality 8K downloads available instantly. Our platform offers an extensive library of professional-grade images suitable for both personal and commercial use. Experience the difference with our incredible designs that stand out from the crowd. Updated daily with fresh content.

Full HD Sunset Textures for Desktop
Stunning Ultra HD Dark patterns that bring your screen to life. Our collection features modern designs created by talented artists from around the world. Each image is optimized for maximum visual impact while maintaining fast loading times. Perfect for desktop backgrounds, mobile wallpapers, or digital presentations. Download now and elevate your digital experience.
Best Geometric Backgrounds in 8K
Discover premium Vintage arts in Desktop. Perfect for backgrounds, wallpapers, and creative projects. Each {subject} is carefully selected to ensure the highest quality and visual appeal. Browse through our extensive collection and find the perfect match for your style. Free downloads available with instant access to all resolutions.
Nature Pattern Collection - Mobile Quality
Find the perfect Space wallpaper from our extensive gallery. Retina quality with instant download. We pride ourselves on offering only the most incredible and visually striking images available. Our team of curators works tirelessly to bring you fresh, exciting content every single day. Compatible with all devices and screen sizes.
Conclusion
We hope this guide on Equations Left Align Math Tex Latex Stack Exchange has been helpful. Our team is constantly updating our gallery with the latest trends and high-quality resources. Check back soon for more updates on equations left align math tex latex stack exchange.
Related Visuals
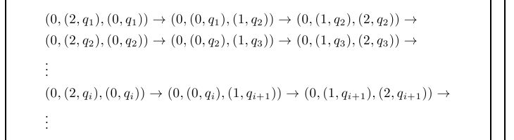
- equations - Left-align math - TeX - LaTeX Stack Exchange
- equations - Left-align math - TeX - LaTeX Stack Exchange
- equations - Left-align math - TeX - LaTeX Stack Exchange
- equations - Left-align math - TeX - LaTeX Stack Exchange
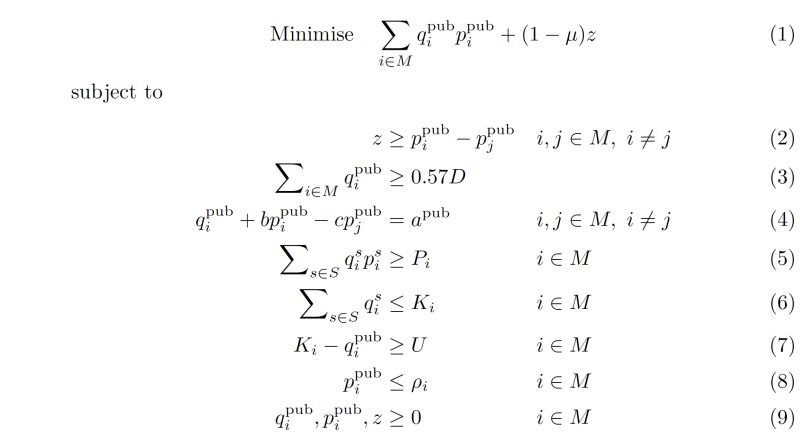
- math mode - Align equations with align - TeX - LaTeX Stack Exchange
- Align equations to left - TeX - LaTeX Stack Exchange
- Align equations to left - TeX - LaTeX Stack Exchange
- How to align the equations in latex? - TeX - LaTeX Stack Exchange
- How can I align equations to the left in latex - TeX - LaTeX Stack Exchange
- How can I align equations to the left in latex - TeX - LaTeX Stack Exchange