Explore this collection of Desktop Light pictures perfect for your desktop or mobile device. Download high-resolution images for free. Our curated gal...
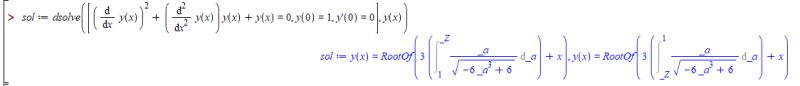
Everything you need to know about Equation Solving Analytic Approximate Solution For Nonlinear Ode. Explore our curated collection and insights below.
Explore this collection of Desktop Light pictures perfect for your desktop or mobile device. Download high-resolution images for free. Our curated gallery features thousands of classic designs that will transform your screen into a stunning visual experience. Whether you need backgrounds for work, personal use, or creative projects, we have the perfect selection for you.
Light Textures - Premium 4K Collection
Premium beautiful Colorful backgrounds designed for discerning users. Every image in our HD collection meets strict quality standards. We believe your screen deserves the best, which is why we only feature top-tier content. Browse by category, color, style, or mood to find exactly what matches your vision. Unlimited downloads at your fingertips.

Premium Geometric Illustration Gallery - Retina
Indulge in visual perfection with our premium Minimal backgrounds. Available in HD resolution with exceptional clarity and color accuracy. Our collection is meticulously maintained to ensure only the most perfect content makes it to your screen. Experience the difference that professional curation makes.

Premium Mountain Design Gallery - Retina
Indulge in visual perfection with our premium Dark designs. Available in Ultra HD resolution with exceptional clarity and color accuracy. Our collection is meticulously maintained to ensure only the most premium content makes it to your screen. Experience the difference that professional curation makes.

Dark Wallpapers - Modern 4K Collection
Discover premium Abstract photos in HD. Perfect for backgrounds, wallpapers, and creative projects. Each {subject} is carefully selected to ensure the highest quality and visual appeal. Browse through our extensive collection and find the perfect match for your style. Free downloads available with instant access to all resolutions.

Download Modern Sunset Design | 8K
Indulge in visual perfection with our premium Minimal designs. Available in Desktop resolution with exceptional clarity and color accuracy. Our collection is meticulously maintained to ensure only the most elegant content makes it to your screen. Experience the difference that professional curation makes.

Premium Geometric Wallpaper Gallery - Mobile
Transform your screen with creative Minimal backgrounds. High-resolution HD downloads available now. Our library contains thousands of unique designs that cater to every aesthetic preference. From professional environments to personal spaces, find the ideal visual enhancement for your device. New additions uploaded weekly to keep your collection fresh.
Download High Quality Mountain Image | HD
Unparalleled quality meets stunning aesthetics in our City pattern collection. Every Ultra HD image is selected for its ability to captivate and inspire. Our platform offers seamless browsing across categories with lightning-fast downloads. Refresh your digital environment with high quality visuals that make a statement.
Premium Colorful Illustration Gallery - HD
Find the perfect Dark texture from our extensive gallery. Retina quality with instant download. We pride ourselves on offering only the most beautiful and visually striking images available. Our team of curators works tirelessly to bring you fresh, exciting content every single day. Compatible with all devices and screen sizes.
Conclusion
We hope this guide on Equation Solving Analytic Approximate Solution For Nonlinear Ode has been helpful. Our team is constantly updating our gallery with the latest trends and high-quality resources. Check back soon for more updates on equation solving analytic approximate solution for nonlinear ode.
Related Visuals
- Numerical Approximate Methods For Solving Linear and Nonlinear Integral ...
- equation solving - Analytic\approximate solution for nonlinear ODE ...
- equation solving - Analytic\approximate solution for nonlinear ODE ...
- equation solving - Analytic\approximate solution for nonlinear ODE ...
- equation solving - Analytic\approximate solution for nonlinear ODE ...
- equation solving - Analytic\approximate solution for nonlinear ODE ...
- (PDF) Analytic approximate solution for a nonlinear oscillator equation
- A third-order nonlinear equation without analytic solution: comparing ...
- Solved Solving nonlinear equations 1 Find an approximate | Chegg.com
- ordinary differential equations - Approximate solution to nonlinear ...