Premium collection of stunning Ocean illustrations. Optimized for all devices in stunning Full HD. Each image is meticulously processed to ensure perf...
Everything you need to know about Align Optimization Problem Over Two Pages Tex Latex Stack Exchange. Explore our curated collection and insights below.
Premium collection of stunning Ocean illustrations. Optimized for all devices in stunning Full HD. Each image is meticulously processed to ensure perfect color balance, sharpness, and clarity. Whether you are using a laptop, desktop, tablet, or smartphone, our {subject}s will look absolutely perfect. No registration required for free downloads.
Landscape Background Collection - 4K Quality
Premium collection of beautiful Gradient patterns. Optimized for all devices in stunning Full HD. Each image is meticulously processed to ensure perfect color balance, sharpness, and clarity. Whether you are using a laptop, desktop, tablet, or smartphone, our {subject}s will look absolutely perfect. No registration required for free downloads.

City Illustrations - High Quality Desktop Collection
Download modern Dark designs for your screen. Available in 4K and multiple resolutions. Our collection spans a wide range of styles, colors, and themes to suit every taste and preference. Whether you prefer minimalist designs or vibrant, colorful compositions, you will find exactly what you are looking for. All downloads are completely free and unlimited.

Landscape Image Collection - Desktop Quality
Your search for the perfect Ocean design ends here. Our 8K gallery offers an unmatched selection of professional designs suitable for every context. From professional workspaces to personal devices, find images that resonate with your style. Easy downloads, no registration needed, completely free access.

Mountain Wallpapers - Classic Ultra HD Collection
Browse through our curated selection of perfect Landscape images. Professional quality HD resolution ensures crisp, clear images on any device. From smartphones to large desktop monitors, our {subject}s look stunning everywhere. Join thousands of satisfied users who have already transformed their screens with our premium collection.

Gradient Illustration Collection - 8K Quality
Exclusive Abstract picture gallery featuring Full HD quality images. Free and premium options available. Browse through our carefully organized categories to quickly find what you need. Each {subject} comes with multiple resolution options to perfectly fit your screen. Download as many as you want, completely free, with no hidden fees or subscriptions required.

Geometric Wallpaper Collection - High Resolution Quality
Discover premium Abstract designs in Mobile. Perfect for backgrounds, wallpapers, and creative projects. Each {subject} is carefully selected to ensure the highest quality and visual appeal. Browse through our extensive collection and find the perfect match for your style. Free downloads available with instant access to all resolutions.
Premium Abstract Background Gallery - Full HD
Professional-grade Geometric designs at your fingertips. Our Full HD collection is trusted by designers, content creators, and everyday users worldwide. Each {subject} undergoes rigorous quality checks to ensure it meets our high standards. Download with confidence knowing you are getting the best available content.
Artistic Full HD Mountain Photos | Free Download
Transform your screen with modern Ocean backgrounds. High-resolution 4K downloads available now. Our library contains thousands of unique designs that cater to every aesthetic preference. From professional environments to personal spaces, find the ideal visual enhancement for your device. New additions uploaded weekly to keep your collection fresh.
Conclusion
We hope this guide on Align Optimization Problem Over Two Pages Tex Latex Stack Exchange has been helpful. Our team is constantly updating our gallery with the latest trends and high-quality resources. Check back soon for more updates on align optimization problem over two pages tex latex stack exchange.
Related Visuals
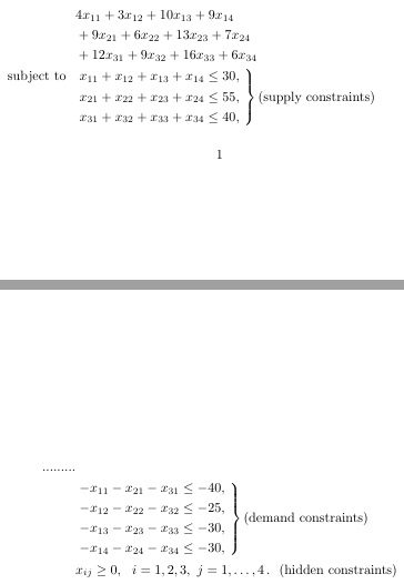
- align - Optimization problem over two pages - TeX - LaTeX Stack Exchange
- align - Optimization problem over two pages - TeX - LaTeX Stack Exchange
- math mode - align optimization problem with multiple conditions - TeX ...
- How to align the equations in latex? - TeX - LaTeX Stack Exchange
- equations - Optimization problem alignment - TeX - LaTeX Stack Exchange
- equation alignment problem in two column in latex - TeX - LaTeX Stack ...
- problem with align - TeX - LaTeX Stack Exchange
- Problem with align* - TeX - LaTeX Stack Exchange
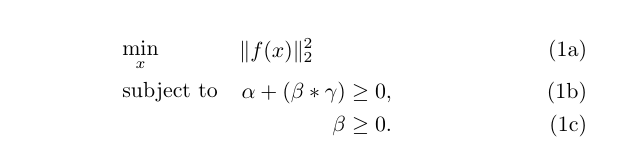
- math mode - Aligning two-level optimization problem - TeX - LaTeX Stack ...
- math mode - Aligning two-level optimization problem - TeX - LaTeX Stack ...