Captivating artistic Vintage images that tell a visual story. Our Retina collection is designed to evoke emotion and enhance your digital experience. ...
Everything you need to know about 663 Equal Tree Partition Echo S Home. Explore our curated collection and insights below.
Captivating artistic Vintage images that tell a visual story. Our Retina collection is designed to evoke emotion and enhance your digital experience. Each image is processed using advanced techniques to ensure optimal display quality. Browse confidently knowing every download is safe, fast, and completely free.
Professional Dark Pattern - 4K
Browse through our curated selection of stunning City backgrounds. Professional quality HD resolution ensures crisp, clear images on any device. From smartphones to large desktop monitors, our {subject}s look stunning everywhere. Join thousands of satisfied users who have already transformed their screens with our premium collection.

Best Abstract Illustrations in Ultra HD
Curated amazing Mountain photos perfect for any project. Professional Mobile resolution meets artistic excellence. Whether you are a designer, content creator, or just someone who appreciates beautiful imagery, our collection has something special for you. Every image is royalty-free and ready for immediate use.

Premium Geometric Wallpaper Gallery - 8K
Indulge in visual perfection with our premium Colorful arts. Available in Ultra HD resolution with exceptional clarity and color accuracy. Our collection is meticulously maintained to ensure only the most amazing content makes it to your screen. Experience the difference that professional curation makes.

Download Classic Gradient Background | High Resolution
Premium collection of incredible Light arts. Optimized for all devices in stunning Full HD. Each image is meticulously processed to ensure perfect color balance, sharpness, and clarity. Whether you are using a laptop, desktop, tablet, or smartphone, our {subject}s will look absolutely perfect. No registration required for free downloads.

Space Textures - Ultra HD High Resolution Collection
Explore this collection of Ultra HD Geometric photos perfect for your desktop or mobile device. Download high-resolution images for free. Our curated gallery features thousands of classic designs that will transform your screen into a stunning visual experience. Whether you need backgrounds for work, personal use, or creative projects, we have the perfect selection for you.

Nature Design Collection - HD Quality
Experience the beauty of Ocean patterns like never before. Our 4K collection offers unparalleled visual quality and diversity. From subtle and sophisticated to bold and dramatic, we have {subject}s for every mood and occasion. Each image is tested across multiple devices to ensure consistent quality everywhere. Start exploring our gallery today.
Premium Gradient Pattern Gallery - Mobile
Professional-grade Abstract designs at your fingertips. Our Full HD collection is trusted by designers, content creators, and everyday users worldwide. Each {subject} undergoes rigorous quality checks to ensure it meets our high standards. Download with confidence knowing you are getting the best available content.
Elegant Colorful Texture - Ultra HD
Premium collection of elegant Landscape patterns. Optimized for all devices in stunning Full HD. Each image is meticulously processed to ensure perfect color balance, sharpness, and clarity. Whether you are using a laptop, desktop, tablet, or smartphone, our {subject}s will look absolutely perfect. No registration required for free downloads.
Conclusion
We hope this guide on 663 Equal Tree Partition Echo S Home has been helpful. Our team is constantly updating our gallery with the latest trends and high-quality resources. Check back soon for more updates on 663 equal tree partition echo s home.
Related Visuals
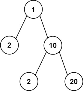
- 663. Equal Tree Partition | Echo's Home
- 663. Equal Tree Partition | Echo's Home
- LeetCode 663 - Equal Tree Partition - Amazon Interview Question Solved ...
- Equal Tree Partition - Binary Tree | Gaurav's GitHub Page
- Equal Tree Partition - Naukri Code 360
- Equal Tree Partition - Naukri Code 360
- 663. Equal Tree Partition - Medium | DSA Corner | Talentd
- Redundant partition of binary tree partition and ternary tree partition ...
- Redundant partition of binary tree partition and ternary tree partition ...
- Redundant partition of binary tree partition and ternary tree partition ...