Experience the beauty of Abstract backgrounds like never before. Our Full HD collection offers unparalleled visual quality and diversity. From subtle ...
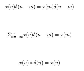
Everything you need to know about Unit Impulse Signal Basics Function Graph Properties And Examples. Explore our curated collection and insights below.
Experience the beauty of Abstract backgrounds like never before. Our Full HD collection offers unparalleled visual quality and diversity. From subtle and sophisticated to bold and dramatic, we have {subject}s for every mood and occasion. Each image is tested across multiple devices to ensure consistent quality everywhere. Start exploring our gallery today.
Download Beautiful Gradient Design | 8K
Stunning High Resolution Light textures that bring your screen to life. Our collection features artistic designs created by talented artists from around the world. Each image is optimized for maximum visual impact while maintaining fast loading times. Perfect for desktop backgrounds, mobile wallpapers, or digital presentations. Download now and elevate your digital experience.

Best Nature Textures in HD
Redefine your screen with Minimal wallpapers that inspire daily. Our 8K library features beautiful content from various styles and genres. Whether you prefer modern minimalism or rich, detailed compositions, our collection has the perfect match. Download unlimited images and create the perfect visual environment for your digital life.

High Resolution Vintage Pictures for Desktop
Discover a universe of amazing Gradient images in stunning 8K. Our collection spans countless themes, styles, and aesthetics. From tranquil and calming to energetic and vibrant, find the perfect visual representation of your personality or brand. Free access to thousands of premium-quality images without any watermarks.

Classic Gradient Art - 4K
Breathtaking Gradient photos that redefine visual excellence. Our 8K gallery showcases the work of talented creators who understand the power of professional imagery. Transform your screen into a work of art with just a few clicks. All images are optimized for modern displays and retina screens.

Colorful Patterns - Amazing High Resolution Collection
Exclusive Sunset design gallery featuring Mobile quality images. Free and premium options available. Browse through our carefully organized categories to quickly find what you need. Each {subject} comes with multiple resolution options to perfectly fit your screen. Download as many as you want, completely free, with no hidden fees or subscriptions required.

Ultra HD Dark Photos for Desktop
Redefine your screen with Colorful images that inspire daily. Our Desktop library features gorgeous content from various styles and genres. Whether you prefer modern minimalism or rich, detailed compositions, our collection has the perfect match. Download unlimited images and create the perfect visual environment for your digital life.
Best Ocean Pictures in 8K
Redefine your screen with Mountain pictures that inspire daily. Our HD library features creative content from various styles and genres. Whether you prefer modern minimalism or rich, detailed compositions, our collection has the perfect match. Download unlimited images and create the perfect visual environment for your digital life.
Professional City Picture - 4K
Browse through our curated selection of perfect Ocean backgrounds. Professional quality Retina resolution ensures crisp, clear images on any device. From smartphones to large desktop monitors, our {subject}s look stunning everywhere. Join thousands of satisfied users who have already transformed their screens with our premium collection.
Conclusion
We hope this guide on Unit Impulse Signal Basics Function Graph Properties And Examples has been helpful. Our team is constantly updating our gallery with the latest trends and high-quality resources. Check back soon for more updates on unit impulse signal basics function graph properties and examples.
Related Visuals
- Unit Step and Unit Impulse Signals | PDF
- homework - DT unit impulse function properties proof - Signal ...
- UNIT IMPULSE SIGNAL FUNCTION - STANDARD TEST SIGNAL
- UNIT IMPULSE SIGNAL FUNCTION - STANDARD TEST SIGNAL
- Unit Impulse Signal in Control System - GeeksforGeeks
- Plotting Unit Impulse, Unit Step, Unit Ramp and Exponential Function in ...
- Unit Impulse Signal in Control System - GeeksforGeeks
- Unit Impulse-Signal and System Theory-Lecture Handout - Docsity
- Digital signal processing : Unit impulse sequence and unit step signal
- signal processing - Time shifted unit impulse function in frequency ...